S&P Global Offerings
Featured Topics
Featured Products
Events
S&P Global Offerings
Featured Topics
Featured Products
Events
S&P Global Offerings
Featured Topics
Featured Products
Events
S&P Global Offerings
Featured Topics
Featured Products
Events
Our Methodology
Methodology & Participation
Reference Tools
S&P Global
S&P Global Offerings
S&P Global
Research & Insights
Our Methodology
Methodology & Participation
Reference Tools
S&P Global
S&P Global Offerings
S&P Global
Research & Insights
19 Aug 2021 | 09:00 UTC — Insight Blog
Featuring Evridiki Dimitriadou
In the second instalment of a two-part series taking a broad look at the developing market for bionaphtha, Evridiki Dimitriadou examines regulations, demand, and technology. Read the first instalment: Europe's nascent bionaphtha market gearing up to serve demand for cleaner fuels and petchems
Caught in a fierce race to become more sustainable, oil majors, startups and downstream producers are navigating regulations, funding models, and technological developments to stand out as industry leaders in an emerging market.
Bionaphtha, a more sustainable but functionally equivalent alternative to fossil-based naphtha, is projected to grow substantially in demand in order to supplement its oil-derived predecessor as a petrochemicals feedstock and gasoline blendstock.
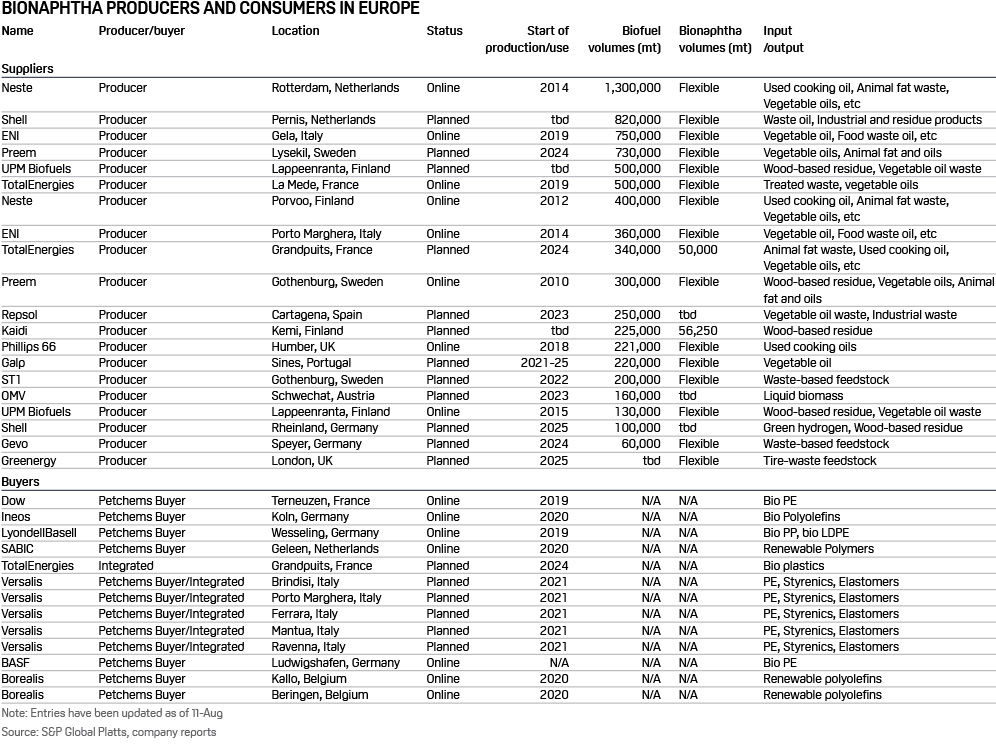
We can make inferences about demand from production levels, which range between 150,000-250,000 mt yearly, with several expansion projects planned. Over the next three to five years, production could grow to anywhere between 500,000 mt/year and multiple millions of metric tons per year, depending on demand, according to the NOVA institute, an industry research group.
Industry sources say demand is rapidly surpassing supply, suggesting demand levels are at least as high as supply currently.
Consumer demand for more sustainable gasoline and plastics will be key to future growth.
While organic materials are key for our future, demand generated by changing regulation—driven by governments fighting climate change—is quite inorganic.
The rate at which governments impose fossil-based restrictions will not only vary across regions but also between upstream and downstream sub-sectors. This regulatory variance is even more complicated for bionaphtha due to its very different end-uses.
Arguably, the most influential legislative act for the European transportation fuels industry is the second Renewable Energy Directive (RED II), which requires renewable energy to make up 32% of the consumption mix by 2030.
The European Commission stipulates that members require a minimum of 14% renewable energy in road and rail transport by 2030. RED II adherence includes both first-generation biofuels, such as FAME, and second-generation biofuels, such as bionaphtha-yielding HVO, and levies taxes or other penalties for noncompliance.
The difference between first- and second-generation biofuels is paramount. This is because the second-generation, produced from certain types of feedstocks such as waste, is subject to double counting under the directive, meaning those biofuels count twice as much towards the mandate. This means bionaphtha can benefit more than other biofuels under RED II, although the way countries implement the mandate varies.
RED II also restricts greenhouse gas emissions (GHG), which has fueled mandatory and voluntary trading of carbon credits. These restrictions are displacing a small but growing volume of fossil-derived blendstocks and transportation fuels.
Incentives for bionaphtha use by petrochemical producers are less straightforward. Petrochemicals legislation includes the directive on single-use plastics and the directive on plastic bags from the European Green Deal and Circular Economy Action Plan. Restrictions are milder compared to transportation fuels but are expected to increase.
With fewer limitations on the regulatory side, suppliers incentivize consumers through marketing and advertising, while politicians try to alter social norms indirectly.
Several high-profile name changes such as that of TotalEnergies (formerly Total) or Equinor (formerly Statoil) signal a voluntary shift toward sustainability. This also includes processing pricy feedstocks, such as bionaphtha.
However, bio-based plastics demand is also substantially consumer-led, as individuals increasingly demand consumer goods boasting eco-friendly credentials.
A "vegan leather" coat certainly appeals to some buyers. However, consumers may feel less enthusiastic about the substitute materials employed in the garment such as polyurethane and polyester (historically crude oil-derived)—that's if they even notice those are the substances replacing the leather. Sustainable feedstocks are increasingly a part of plastics production, but it's likely more than advertising is required to raise consumer awareness and demand.
The technology companies use to meet bio-product demand is diverse. The three main pathways to convert biomass into liquid fuel are pyrolysis, liquid phase processing, and gasification, according to the US National Advanced Biofuels Consortium. All three of these processes can be a step in the production of bionaphtha. Hydrogen is a key component in each process.
Liquid phase processing
This is the most common route, yielding high proportions of renewable diesel (HVO). Biomass is preheated with a catalyst into a slurry, which is cleaned and processed with hydrogen. Subsequently, the slurry reacts with water, yielding different fuels depending on the refinery configuration and processes, and the raw materials and catalysts used.
Pyrolysis
In these processes, often solid biomass is heated in absence of oxygen. Forest and agricultural residues such as nut shells are feedstocks more suited to this process. Pyrolysis notably yields bio-oils. This substance isn't a quality fuel but is upgraded through hydrotreating, catalytic cracking and gasification. Importantly, a pyrolysis process can yield bio-oil from waste-plastic, otherwise known as chemical recycling. A recent study on biomass processing has shown notable results of catalytic co-pyrolysis of plastic waste and biomass. Alternatively, companies can blend at later stages. For example, Neste uses renewable and recycled materials, such as waste and resudie oils and liquefied waste plastic, to create a more sustainable feedstock, branded Neste RE, suitable for petrochemicals cracking.
Gasification
Pyrolysis also generates syngas, a mixture of primarily water and carbon monoxide, which can be used for the production of synthetic fuels such as bionaphtha through a gasification process called Fischer-Tropsch synthesis. During this process, liquid biofuels can be produced through a chemical catalytic process.
There are two main ways companies choose to implement these pathways, depending on their existing infrastructure. Producers can construct new plants or retrofit existing refineries in a co-processing approach, where biomass and fossil inputs are mutually processed into a comingled fuel.
Standalone construction of a new biorefinery is the likely option for new entrants. Key in production is a hydrotreater, which can cost more than $30 million.
While newbuilds are costly, they have the advantage of being able to yield 100% renewable fuels, which is notable given renewable products sell at higher premiums. Feedstocks such as vegetable oils are the largest production cost component and can account for 65%-80% of renewable fuels' price. Adding new bio-refining capacity can reduce that to 40% or much less. However, feedstock costs will remain variable while capital costs become fixed over time.
For example, TotalEnergies plans to convert petroleum-refining capacity at Grandpuits into a zero-crude platform. Such an upgrade can cost more than $500 million invested capital throughout several years.
Alternatively, hydrotreaters at legacy refineries can be modified to co-process biofuels and oil together, taking advantage of existing, expensive capacity. Many producers use co-processing through liquid phase separation. This process yields lucrative byproducts such as bionaphtha and biopropane that help recoup capital investments.
The capital expenditures for co-processing at existing refineries are substantially lower than startups. However, companies wishing to tout their comingled bio-bonafides must use robust methods to trace renewable content mixed with non-renewable.
Tracking renewable content for regulators and end-users can be challenging, considering many bio-based products are a combination of recycled, renewable and fossil-based feedstocks.
The main way bionaphtha content is tracked is through a "mass-balance" approach, where the precise content of renewable or recycled input is measured as the amount of oil that was replaced. Tracking individual molecules in a final comingled product is not practical as they are blended earlier in the manufacturing process.
However, the SGS environmental agency, a global industry group, provides an International Sustainability and Carbon Certification (ISCC) to producers who provide proof of renewable content. This certification is available in Europe, aligned with RED II. Several leading petrochemicals producers such as BASF and Dow are producing ISCC-certified bioplastics.
The certification assures consumers that a producer used renewable or recycled inputs, but doesn't track the renewable content of a single item. Compare this to a vegetable soup: you might mix in carrots and potatoes but the bite you take might be all carrots or all potatoes.
These tracking measures bring us another step closer to a circular economy where raw materials are reused, moving away from a linear economy that sees those items pile up in a landfill.
The way biofuels are tracked into the gasoline pool is similar, but a key difference is in how production costs get passed to end users.
Naphtha and bionaphtha are base components in the mixture of products that form different gasoline grades. A study on transportation fuels has shown that a combination of bioethanol and bionaphtha in gasoline can lead to a statistically significant reduction in fuel consumption and CO2 emissions.
European gasoline producers have worked alongside automotive manufacturers to develop biofuels that can meet government regulations and vehicles that can consume them.
However, a typical vehicle lifespan is up to 13 years, and considering its replacement cost, it is unlikely most consumers will rush to buy a new car specifically to accommodate biofuels if their current vehicle is unable to.
Through co-processing, producers are generating biofuels, including bionaphtha, that are equivalent in their properties to legacy oil products. These can be blended in a way that does not require substantial changes to engine, infrastructure, or fuel distribution network. This is commonly referred to in the industry as a "drop-in" fuel.
In May, Bosch, Shell and Volkswagen co-developed a gasoline blend that includes up to 33% renewables by incorporating bionaphtha or ethanol, certified by ISCC. Neste, also in May, began testing renewable gasoline in cooperation with Powertrain Engineering Sweden, which supplies Volvo.
Preem carried out tests in June to produce a new renewable gasoline at its Lysekil refinery. The company already produces a gasoline blend incorporating bionaphtha, ethanol and ETBE. USA-based biofuels producer Gevo has invested in a Speyer, Germany-located biorefinery to produce drop-in fuels by 2024. It already sells renewable gasoline in Seattle that includes bionaphtha and ethanol.
These highlights reflect some very recent growth and announcements, but many other blenders and producers, such as Eni and TotalEnergies, are also active in the market.
Bionaphtha can complement ethanol and ETBE in the gasoline blending pool or substitute them. With high price elasticity of demand, blenders seek the cheapest available blending combinations to meet the minimum European-regulated EN 288 specifications. Still, as mentioned above, bionaphtha can be subject to double counting for regulatory purposes, which can make it more attractive in these often-complex blend calculations.
Most of the largest European petrochemicals producers already use bionaphtha to produce sustainable intermediate- and end-consumer industrial products such as clothing and medical equipment.
Dow and UPM partnered in 2019 to produce renewable-based plastics, particularly incorporating bionaphtha. Dow produces bio-based polyethylene (bio-PE) and low-density polyethyelene (bio-LDPE). The latter is used by Elopak, a Norway-based global supplier of paper packaging. That partnership is producing 100% renewable cartons, which can also be recycled.
Ineos and UPM partnered in 2020 to produce bio-polymers from bionaphtha. These range from plastic food packaging to medical equipment. This partnership produced the world's first bio-attributed, commercially available polyvinyl chloride (PVC), which can be used in piping and windows.
Sabic partnered with UPM in 2020 to process bionaphtha into renewable ethylene. Netherlands-based Dyneema uses Sabic's renewable ethylene to produce fibers used in safety gear, clothing, and equipment such as ropes for heavy industry and marine activities. Sabic also announced in 2020 a renewable ethylene supply contract to Belgium-based Vynova for manufacture of PVC resins such as construction materials, and wires.
BASF follows the mass-balance approach of mixing renewable and oil-based naphtha to produce bio-based polymers such as PE, polypropylene (PP) and polystyrene.
LyondellBasell and Neste have partnered since 2019 to produce several thousand tons of bio-based plastics and agreed on a long-term commercial agreement in 2021 with LyondellBasell sourcing Neste RE to produce polymers and chemicals. Lyondell plans to produce and market 2 million mt of recycled and renewable-based polymers annually by 2030. Further down the supply chain, Cofresco, a producer of household items such as baking paper and cling film, uses Lyondell's Circulen-branded LDPE.
Borealis also partners with Neste for bio-based PP production in Europe, according to the bio-consultancy NNFC. Borealis could also have another source of bio-feedstocks as Austria's OMV acquired a majority 75% stake in Borealis in March 2020 and plans to produce second-generation biofuels at its Schwechat refinery by 2023.
IKEA has also partnered with Neste to turn waste and residue raw materials into PP and PE plastic.
While demand for bionaphtha is driven by eco-minded consumers, it will also grow alongside fossil-based feedstocks such as naphtha, LPG, and ethane, which are projected to grow by an average of 300,000 b/d per year between 2021-2050, according to S&P Global Platts Analytics. Expected growth in plastics building-block such as ethylene and propylene is also key. Global bioplastics production capacity is set to increase from 2.11 million mt (of which 26% attributable to Europe) to 2.87 million mt between 2020-2025 according to European Bioplastics and Nova institute.
Importantly, not all bio-based plastics are biodegradable. Plastics amount for roughly 10% of global waste and 80% of all marine litter, with 70% of the latter being single-use plastics, according to the International Union for Conservation of Nature.
Therefore, developments in recycling will be key for bionaphtha demand. The main method of recycling is mechanical recycling, which crushes plastics to create new materials. This process often yields an inferior grade of plastic at a price premium when compared to non-recycled production. The competitiveness of recycled material versus bio-based feedstocks will vary depending on properties, regulations, and demand.
EU introduced in January a Eur800/mt tax on non-recycled packaging. Therefore, bionaphtha and fossil-naphtha can also complement recycled materials in order to meet growing demand for end-products.
While regulation is driving a large portion of the change, a wide framework for supporting low-carbon and capital-intensive projects has developed in both the public and private spheres.
For example, the European Investment Bank aims to support more than Eur1 trillion of environmentally sustainable investments by 2030. One of the five main objectives of the EU's Cohesion Fund is to invest in renewables. Financial support is also seen at the local level. For example, the Swedish Bioenergy Association funds investment in regional biorefineries that utilize forest residues key in bionaphtha production.
The private sector, including large-scale financial institutions, is increasingly funding renewable energy instead of oil exploration and production. Some Exchange Traded Funds (ETFs), such as the Lyxor New Energy UCITS ETF, show a preference for investing in sustainability-focused companies tracked by indices such as the S&P Global Clean Energy Index, which posted a 48.44% one-year total return as of Aug. 11.
Investment strategies focusing on environmentally responsible companies, such as positive screening, are on the rise in equity. On the debt side, there has also been rising interest in instruments such as green bonds—a type of loan a producer can take to finance green investments.
The market for renewable fuels and petrochemicals is therefore rapidly developing, giving bionaphtha an emerging role in the energy transition.
And just like many other nascent solutions to global energy and waste challenges, bionaphtha's growth trajectory will be determined by a combination of economic, regulatory and political factors, along with a good dose of consumer psychology.